当前位置:肿瘤瞭望>资讯>新知>正文

泌尿肿瘤新进展丨从EV-302到ENZAMET,ESMO“中国视角论坛”解读泌尿肿瘤长期生存新策略

作者:肿瘤瞭望   日期:2025/11/13 14:16:04  浏览量:2655

肿瘤瞭望版权所有,谢绝任何形式转载,侵犯版权者必予法律追究。

在当今医学快速发展的时代浪潮下,针对尿路上皮癌、前列腺癌等常见泌尿系统恶性肿瘤的治疗策略持续更新,患者的生存获益不断打破既往记录。在2025年欧洲肿瘤内科学会(ESMO)大会,更新了多项前沿研究数据;值此之际,中关村精准医学基金会特别发起“泌尿肿瘤诊疗新进展分享项目”,邀请四川大学华西医院魏强教授、辽宁省肿瘤医院胡滨教授以及复旦大学附属肿瘤医院戴波教授,围绕EV-302、EV-103以及ENZAMET等具有改变临床诊疗格局的研究成果展开深度解读与分享,以期惠及我国广大泌尿肿瘤患者。

编者按:在当今医学快速发展的时代浪潮下,针对尿路上皮癌、前列腺癌等常见泌尿系统恶性肿瘤的治疗策略持续更新,患者的生存获益不断打破既往记录。在2025年欧洲肿瘤内科学会(ESMO)大会,更新了多项前沿研究数据;值此之际,中关村精准医学基金会特别发起“泌尿肿瘤诊疗新进展分享项目”,邀请四川大学华西医院魏强教授、辽宁省肿瘤医院胡滨教授以及复旦大学附属肿瘤医院戴波教授,围绕EV-302、EV-103以及ENZAMET等具有改变临床诊疗格局的研究成果展开深度解读与分享,以期惠及我国广大泌尿肿瘤患者。
 
魏强教授:上世纪80年代以来,以铂类为基础的化疗是局部晚期或转移性UC(LA/mUC)的标准一线疗法,但获益有限[1]。近年来,随着EV-302研究等具有里程碑意义的研究结果相继公布,维恩妥尤单抗联合方案彻底改变了这一领域的治疗格局,已成为国内外临床实践中LA/mUC的一线标准治疗方案[2,3]。2025年ASCO-GU大会公布的EV-302研究更新数据再次证实(中位随访约为2.5年),维恩妥尤单抗联合方案具有持续生存获益:疾病进展或死亡风险降低52%,死亡风险降低49%,并且耐受性良好[4]
 
我国临床实践中的LA/mUC患者多为老年人群,但这类患者可能合并一种或多种基础疾病,进一步限制了强效化疗及联合治疗的应用,从而影响了后续生存。维恩妥尤单抗的出现,改善了这类患者的治疗格局:今年ESMO大会上,EV-302研究公布了针对≥75岁老年患者和具有合并症(糖尿病、肾功能不全)患者的探索性分析结果;数据表明,维恩妥尤单抗联合方案组在这些亚组中的PFS、OS和ORR均显著优于化疗组,安全性与既往报道一致,大多数为1~2级,且可通过适当的管理得到控制,表明维恩妥尤单抗联合方案在这类面临更多治疗限制的群体中同样具有良好的耐受性[5]
 
具体而言,对于老年患者(年龄≥75岁),维恩妥尤单抗联合方案组的中位PFS(12.3个月vs 6.0个月,HR 0.43)和OS(24.4个月vs 11.6个月,HR 0.51)均实现了相较于化疗的疗效翻倍,ORR(66.3%vs 38.3%)同样显著优于化疗组[5]
 
△年龄≥75岁患者亚组的PFS、OS分析
 
对于基线时合并糖尿病的患者,维恩妥尤单抗联合方案组的中位PFS是化疗组的4.2倍(26.3个月vs 6.2个月,HR 0.36),中位OS是化疗组的2.5倍(36.1个月vs 14.5个月,HR 0.34),ORR同样实现了翻倍(69.9%vs 35.4%)[5]
 
△合并糖尿病患者亚组的PFS、OS分析
 
对于合并肾功能不全的患者,维恩妥尤单抗联合方案组中位PFS为化疗组的1.7倍(10.5个月vs 6.2个月,HR 0.49),中位OS为化疗组的2倍(25.6个月vs 13.3个月,HR 0.53),ORR几乎翻倍(66.3%vs 38.2%)[5]
 
△合并肾功能不全患者亚组的PFS、OS分析
 
胡滨教授:ESMO大会及ESMO“中国视角论坛”泌尿肿瘤专场相关专家分享的EV-302研究数据确实为我们带来了更多信心与临床证据。而在EV-302研究之前更早开展的EV-103研究,队列K的3.5年长期随访数据同样在本次大会公布[6],进一步夯实了LA/mUC患者的长期获益基础;这项研究结果证实,维恩妥尤单抗联合方案能够带来持久且深度的肿瘤缓解、显著的PFS获益,并且可切实转化为患者的长期生存。
 
队列K的3.5年长期随访数据表明[6],维恩妥尤单抗联合方案的中位缓解持续时间(mDoR)为38.7个月,36个月时的缓解持续率高达58.8%;维恩妥尤单抗联合方案组cORR为65.8%,其中CR达14.5%,PR为51.3%。这些数据表明,维恩妥尤单抗方案联合能够带来持久且深度的肿瘤缓解。
 
△EV-103研究队列K随访3.5年的mDoR分析
 
mPFS数据进一步表明了维恩妥尤单抗联合治疗方案持久的疾病控制疗效。mPFS为29.0个月[6],表明维恩妥尤单抗联合治疗方案不仅能够延长患者的生存时间,更能够提供持续的疾病控制,使患者在更长的时间内免于疾病进展。
 
△EV-103研究队列K随访3.5年的mPFS分析
 
维恩妥尤单抗联合治疗组的mOS为30.7个月[6],并且3年OS率高达44.1%。这意味着近半数的患者能够存活超过3年,这在顺铂不耐受这一预后极差的人群中实属罕见。研究数据提示,维恩妥尤单抗联合方案有望为相当一部分患者带来长期生存甚至“功能性治愈”的可能。
 
△EV-103研究队列K随访3.5年的mOS分析
 
总之,维恩妥尤单抗联合治疗方案能够提供持续的疾病控制,延长患者的生存时间。长达约3.5年随访更新中的安全性特征与既往报告保持一致。EV-103研究队列K长期数据不仅验证了维恩妥尤单抗联合方案的卓越疗效与良好的安全性特征,更关键的是,它为晚期尿路上皮癌患者开辟了一条切实可行的创新治疗路径,为LA/mUC患者带来了长时间的生存获益可能。
 
戴波教授:近年来,尿路上皮癌领域确实取得了多项重要进展,尤其是改善了晚期患者的治疗格局。而在同属泌尿肿瘤的前列腺癌领域,同样公布了一项重磅研究结果:ENZAMET研究更新数据表明,患者的中位OS可达8年,充分证实了恩扎卢胺治疗mHSPC患者能够获得显著且持久的长期生存获益。
 
mHSPC作为延缓疾病进展的mCRPC关键治疗窗口。mHSPC阶段的雄激素剥夺治疗(ADT)+新型雄激素受体(AR)通路抑制剂(ARPI)能够给患者带来更加显著的临床获益(相较于ADT),已成为转移性前列腺癌患者一线治疗推荐的新标准[2,7];ENZAMET研究的8年随访证实,恩扎卢胺联合睾酮抑制治疗mHSPC的8年生存率为50%vs 40%(HR=0.73,95%CI 0.63-0.86,P<0.0001),显著优于对照组[8]
 
△ENZAMET研究的8年长期生存获益分析
 
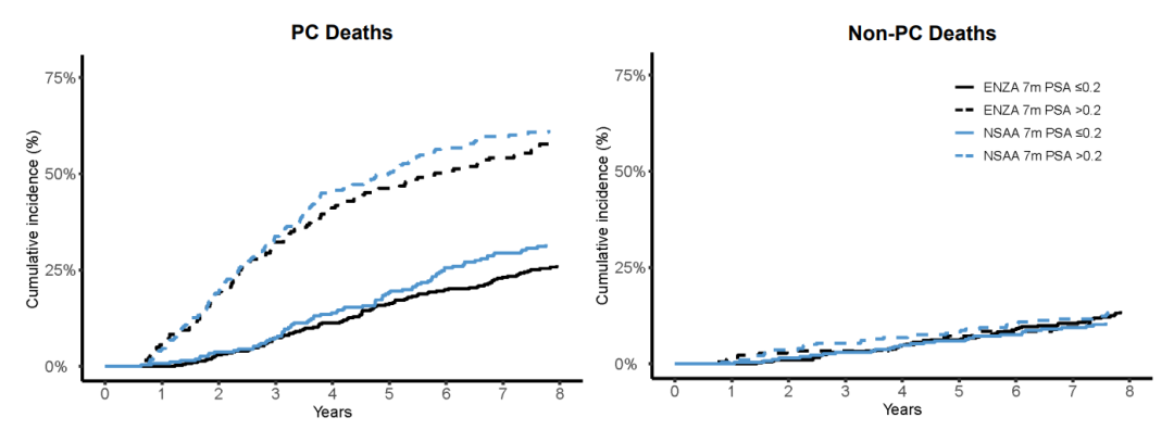
ENZAMET研究的8年随访结果强调了恩扎卢胺治疗的长期安全性、耐受性良好;与对照组相比,恩扎卢胺治疗有更低的因前列腺癌死亡比例以及更好的生存结局(无论7个月时PSA情况如何)。ENZAMET研究是前列腺癌领域具有划时代意义的里程碑,确立了“早期强化+长期维持”的核心模式。
 
△7个月时不同PSA亚组(≤0.2 ng/ml或>0.2 ng/ml)的前列腺癌或其他原因死亡分析
 
▌参考文献:
 
[1].Sung H,et al.CA Cancer J Clin.2021 May;71(3):209-249.
 
[2].中国临床肿瘤学会指南工作委员会.CSCO尿路上皮癌诊疗指南2025.人民卫生出版社.
 
[3].T.Powles,et al.Annals of Oncology(2024).
 
[4].T.Powles,et al.Ann Oncol.2025 Jun 1:S0923-7534(25)00762-8.
 
[5].Nataliya Mar,et al.ESMO 2025.3073P
 
[6].Terence Friedlander,et al.ESMO 2025.3074P
 
[7].CACA前列腺癌指南V2.0.2025.
 
[8].Alison Yan Zhang,et al.ASCO25 Abstract 5090.
 
魏强教授
四川大学华西医院
教授、主任医师、博导
四川大学华西医院泌尿系统疾病中心主任、泌尿外科学科主任、泌尿外科研究所所长
中央干保委会诊专家、中华医学会泌尿外科学分会副主任委员、中国临床肿瘤学会(CSCO)前列腺癌、肾癌专委会副主任委员、中国抗癌协会男生殖肿瘤专委会副主任委员;
获吴阶平泌尿外科医学奖、“天府万人计划-天府名医”;
四川省肾病与泌尿系统疾病临床研究中心主任、四川省抗癌协会泌尿男生殖肿瘤专委会主任委员、四川省医师协会外科机器人医师分会会长;
中华泌尿外科杂志副总编辑、中华医学杂志英文版及中华外科杂志编委。
 
胡滨教授
辽宁省肿瘤医院泌尿外科主任及泌尿外科教研室主任
主任医师、医学博士、博士研究生导师
辽宁省“五一劳动奖章”获得者
辽宁省医学会第八届理事会常务理事
中国抗癌协会前列腺癌整合防筛专业委员会副主任委员
中国性学会手术学分会副主任委员
中国抗癌协会泌尿及男生殖肿瘤专委会常委
辽宁省抗癌协会泌尿肿瘤专业委员会主任委员
辽宁省医学会泌尿外科分会副主任委员
辽宁省医学会男科学分会副主任委员
中国临床肿瘤学会(CSCO)肾癌、尿路上皮癌、前列腺癌专家委员会委员
 
戴波教授
医学博士、主任医师、博士生导师
复旦大学附属肿瘤医院泌尿外科主任
上海市东方英才计划优秀学术带头人
上海市卫生系统优秀学科带头人、优秀青年人才
中国抗癌协会整合前列腺肿瘤委员会副主任兼秘书长
中国抗癌协会泌尿生殖肿瘤整合康复专委会副主任委员
中国抗癌协会男性生殖系肿瘤专委会常委兼秘书长
中国抗癌协会整合泌尿系统肿瘤委员会委员
亚洲机器人泌尿外科学会临床研究委员会委员
中国医疗保健国际交流促进会腔镜内镜外科分会常务委员
中国医药教育协会医疗机器人发展促进分会常务委员
中国产学研合作促进会泌尿外科医学专家委员会委员
中国老年医学会泌尿外科分会委员
国家肿瘤质控中心前列腺癌质控专家委员会委员
上海市医学会泌尿外科委员会委员、上海市医师协会泌尿外科委员会委员兼秘书
《Asian Journal of Andrology》、《中华泌尿外科杂志》、《南方医科大学学报》、《中国癌症防治杂志》编委
复旦大学十大医务青年、仁心医者(上海市杰出专科医师奖提名奖)、上海市泌尿外科学会年度风云人物
 
特别鸣谢:北京安斯泰来医药有限公司

本内容仅供医学专业人士参考


尿路上皮癌前列腺癌

分享到: 更多